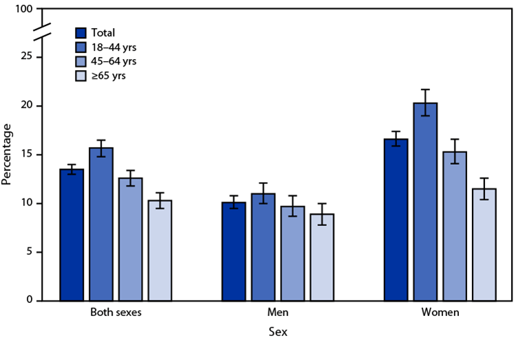
QuickStats: Percentage* of Adults Aged ≥18 Years Who Felt Very Tired or Exhausted Most Days or Every Day in the Past 3 Months,† by Sex and Age Group — National Health Interview Survey,§ United States, 2022
Weekly / November 10, 2023 / 72(45);1248
Altmetric:

* With 95% CIs indicated by error bars.
† Based on a response to the question, “In the past 3 months, how often did you feel very tired or exhausted? Would you say never, some days, most days, or every day?”
§ Estimates are based on household interviews of a sample of the civilian, noninstitutionalized U.S. population.
In 2022, 13.5% of adults aged ≥18 years felt very tired or exhausted most days or every day in the past 3 months, and this percentage declined with age. Among men, the percentage was highest among those aged 18–44 years (11.0%), followed by those aged 45–64 years (9.7%) and ≥65 years (8.9%). Among women, the decline in the percentage with age was steeper, decreasing from 20.3% (18–44 years), to 15.3% (45–64 years), to 11.5% (≥65 years). The percentage of adults who felt tired or exhausted most days or every day was higher for women compared with men in each age group.
Source: National Center for Health Statistics, National Health Interview Survey, 2022. https://www.cdc.gov/nchs/nhis/index.htm
Reported by: Lauren Bottoms-McClain, MPH, cau1@cdc.gov; Amanda E. Ng, MPH.
Suggested citation for this article: QuickStats: Percentage of Adults Aged ≥18 Years Who Felt Very Tired or Exhausted Most Days or Every Day in the Past 3 Months,† by Sex and Age Group — National Health Interview Survey, United States, 2022. MMWR Morb Mortal Wkly Rep 2023;72:1248. DOI: http://dx.doi.org/10.15585/mmwr.mm7245a7.
MMWR and Morbidity and Mortality Weekly Report are service marks of the U.S. Department of Health and Human Services.
Use of trade names and commercial sources is for identification only and does not imply endorsement by the U.S. Department of
Health and Human Services.
References to non-CDC sites on the Internet are
provided as a service to MMWR readers and do not constitute or imply
endorsement of these organizations or their programs by CDC or the U.S.
Department of Health and Human Services. CDC is not responsible for the content
of pages found at these sites. URL addresses listed in MMWR were current as of
the date of publication.
All HTML versions of MMWR articles are generated from final proofs through an automated process. This conversion might result in character translation or format errors in the HTML version. Users are referred to the electronic PDF version (https://www.cdc.gov/mmwr) and/or the original MMWR paper copy for printable versions of official text, figures, and tables.
Questions or messages regarding errors in formatting should be addressed to mmwrq@cdc.gov.